Stoner–Wohlfarth model
link: https://en.wikipedia.org/wiki/Stoner%E2%80%93Wohlfarth_model
When the size of the studied system is below the exchange length, the magnetization of the system is uniform and thus can be described using a single 3d vector. In this situation, the demagnetization field can be calculated by simply multiplying the demagnetization tensor and the magnetization. Therefore, the demagnetization energy is equivalent to an effective anisotropy. Assuming that the external field
where
In principle, there will be a solution of
The obtained switching field is
where
We chose the system to be a cubic sample, so the demagnetization tensor is
using MicroMagneticWe create a mesh for a cubic geometry 4nm x 4nm x 4nm
mesh = FDMesh(; nx=4, ny=4, nz=4, dx=1e-9, dy=1e-9, dz=1e-9);We create a simulation instance with the LLG driver and the BS23 integrator.
sim = Sim(mesh, driver="LLG", integrator="BS23", name="SW")
sim.driver.alpha = 0.5
sim.driver.integrator.tol = 1e-7
set_Ms(sim, 1e6)
init_m0(sim, (-1,1,0))
add_exch(sim, 1.3e-11)
add_anis(sim, 5e4, axis=(1, 1, 0))
add_zeeman(sim, (0,0,0))[ Info: MicroSim (FD) has been created.
[ Info: Exchange has been added.
[ Info: Uniaxial Anisotropy has been added.
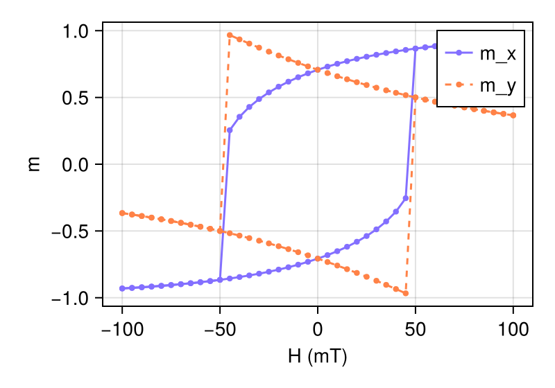
[ Info: Static Zeeman has been added.We use the hysteresis function to simulate the hysteresis loops.
Hs = [i*mT for i=-100:5:100]
hysteresis(sim, Hs, direction=(1,0,0), full_loop=false, stopping_dmdt=0.05, output="vts")[ Info: Running Driver : MicroMagnetic.LLG{Float64}.
[ Info: max_dmdt is less than stopping_dmdt=0.05 @steps=439, Done!
[ Info: Running Driver : MicroMagnetic.LLG{Float64}.
[ Info: max_dmdt is less than stopping_dmdt=0.05 @steps=87, Done!
[ Info: Running Driver : MicroMagnetic.LLG{Float64}.
[ Info: max_dmdt is less than stopping_dmdt=0.05 @steps=88, Done!
[ Info: Running Driver : MicroMagnetic.LLG{Float64}.
[ Info: max_dmdt is less than stopping_dmdt=0.05 @steps=90, Done!
[ Info: Running Driver : MicroMagnetic.LLG{Float64}.
[ Info: max_dmdt is less than stopping_dmdt=0.05 @steps=91, Done!
[ Info: Running Driver : MicroMagnetic.LLG{Float64}.
[ Info: max_dmdt is less than stopping_dmdt=0.05 @steps=93, Done!
[ Info: Running Driver : MicroMagnetic.LLG{Float64}.
[ Info: max_dmdt is less than stopping_dmdt=0.05 @steps=94, Done!
[ Info: Running Driver : MicroMagnetic.LLG{Float64}.
[ Info: max_dmdt is less than stopping_dmdt=0.05 @steps=96, Done!
[ Info: Running Driver : MicroMagnetic.LLG{Float64}.
[ Info: max_dmdt is less than stopping_dmdt=0.05 @steps=98, Done!
[ Info: Running Driver : MicroMagnetic.LLG{Float64}.
[ Info: max_dmdt is less than stopping_dmdt=0.05 @steps=99, Done!
[ Info: Running Driver : MicroMagnetic.LLG{Float64}.
[ Info: max_dmdt is less than stopping_dmdt=0.05 @steps=101, Done!
[ Info: Running Driver : MicroMagnetic.LLG{Float64}.
[ Info: max_dmdt is less than stopping_dmdt=0.05 @steps=103, Done!
[ Info: Running Driver : MicroMagnetic.LLG{Float64}.
[ Info: max_dmdt is less than stopping_dmdt=0.05 @steps=105, Done!
[ Info: Running Driver : MicroMagnetic.LLG{Float64}.
[ Info: max_dmdt is less than stopping_dmdt=0.05 @steps=107, Done!
[ Info: Running Driver : MicroMagnetic.LLG{Float64}.
[ Info: max_dmdt is less than stopping_dmdt=0.05 @steps=109, Done!
[ Info: Running Driver : MicroMagnetic.LLG{Float64}.
[ Info: max_dmdt is less than stopping_dmdt=0.05 @steps=111, Done!
[ Info: Running Driver : MicroMagnetic.LLG{Float64}.
[ Info: max_dmdt is less than stopping_dmdt=0.05 @steps=113, Done!
[ Info: Running Driver : MicroMagnetic.LLG{Float64}.
[ Info: max_dmdt is less than stopping_dmdt=0.05 @steps=115, Done!
[ Info: Running Driver : MicroMagnetic.LLG{Float64}.
[ Info: max_dmdt is less than stopping_dmdt=0.05 @steps=117, Done!
[ Info: Running Driver : MicroMagnetic.LLG{Float64}.
[ Info: max_dmdt is less than stopping_dmdt=0.05 @steps=120, Done!
[ Info: Running Driver : MicroMagnetic.LLG{Float64}.
[ Info: max_dmdt is less than stopping_dmdt=0.05 @steps=122, Done!
[ Info: Running Driver : MicroMagnetic.LLG{Float64}.
[ Info: max_dmdt is less than stopping_dmdt=0.05 @steps=125, Done!
[ Info: Running Driver : MicroMagnetic.LLG{Float64}.
[ Info: max_dmdt is less than stopping_dmdt=0.05 @steps=129, Done!
[ Info: Running Driver : MicroMagnetic.LLG{Float64}.
[ Info: max_dmdt is less than stopping_dmdt=0.05 @steps=133, Done!
[ Info: Running Driver : MicroMagnetic.LLG{Float64}.
[ Info: max_dmdt is less than stopping_dmdt=0.05 @steps=138, Done!
[ Info: Running Driver : MicroMagnetic.LLG{Float64}.
[ Info: max_dmdt is less than stopping_dmdt=0.05 @steps=144, Done!
[ Info: Running Driver : MicroMagnetic.LLG{Float64}.
[ Info: max_dmdt is less than stopping_dmdt=0.05 @steps=150, Done!
[ Info: Running Driver : MicroMagnetic.LLG{Float64}.
[ Info: max_dmdt is less than stopping_dmdt=0.05 @steps=158, Done!
[ Info: Running Driver : MicroMagnetic.LLG{Float64}.
[ Info: max_dmdt is less than stopping_dmdt=0.05 @steps=168, Done!
[ Info: Running Driver : MicroMagnetic.LLG{Float64}.
[ Info: max_dmdt is less than stopping_dmdt=0.05 @steps=180, Done!
[ Info: Running Driver : MicroMagnetic.LLG{Float64}.
[ Info: max_dmdt is less than stopping_dmdt=0.05 @steps=782, Done!
[ Info: Running Driver : MicroMagnetic.LLG{Float64}.
[ Info: max_dmdt is less than stopping_dmdt=0.05 @steps=102, Done!
[ Info: Running Driver : MicroMagnetic.LLG{Float64}.
[ Info: max_dmdt is less than stopping_dmdt=0.05 @steps=100, Done!
[ Info: Running Driver : MicroMagnetic.LLG{Float64}.
[ Info: max_dmdt is less than stopping_dmdt=0.05 @steps=98, Done!
[ Info: Running Driver : MicroMagnetic.LLG{Float64}.
[ Info: max_dmdt is less than stopping_dmdt=0.05 @steps=96, Done!
[ Info: Running Driver : MicroMagnetic.LLG{Float64}.
[ Info: max_dmdt is less than stopping_dmdt=0.05 @steps=95, Done!
[ Info: Running Driver : MicroMagnetic.LLG{Float64}.
[ Info: max_dmdt is less than stopping_dmdt=0.05 @steps=93, Done!
[ Info: Running Driver : MicroMagnetic.LLG{Float64}.
[ Info: max_dmdt is less than stopping_dmdt=0.05 @steps=92, Done!
[ Info: Running Driver : MicroMagnetic.LLG{Float64}.
[ Info: max_dmdt is less than stopping_dmdt=0.05 @steps=90, Done!
[ Info: Running Driver : MicroMagnetic.LLG{Float64}.
[ Info: max_dmdt is less than stopping_dmdt=0.05 @steps=88, Done!
[ Info: Running Driver : MicroMagnetic.LLG{Float64}.
[ Info: max_dmdt is less than stopping_dmdt=0.05 @steps=87, Done!For the used anisotropy plot_ts function
using CairoMakie
fig = plot_ts("SW_llg.txt", x_key="Hx", ["m_x", "m_y"], x_unit=1/mT, xlabel="H (mT)", ylabel="m", mirror_loop=true);